|
|
|
| |
|
| |
| |
DMDMH防腐劑
防腐殺菌劑(海因)有效成分為DMDMH,化學名稱為1,3-二羥甲基-5,5-二甲基海因,CAS NO:6440-58-0,廣泛用于化妝品和個人護理品如洗發香波、護發素、剃須品、粉底、洗劑、膏霜、嬰兒產品、防曬品和清洗劑等日化產品的防腐殺菌(需水沖洗的產品)。
| 商品名稱: |
DMDM乙內酰脲、1,3-二羥甲基-5,5-二甲基乙內酰脲、1,3-二羥甲基-5,5-甲基海因、Nipaguard.DMDMH、DMDMH |

|
| 分子式: |
C7H12N2O4 |
| 分子量: |
188.2 |
|
質量標準: |
外觀無色透明液體。 有效物含量%55±2% |
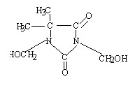
| 化學結構: |
 |
| 總甲醛含量: |
17%min |
| 游離甲醛含: |
1.0%max |
| 色度: |
10max(APHA) |
| pH值: |
6.0-8.0 |
| 凝固點: |
-11 °C |
| 相對密度: |
(25°C)1.16g/ml 穩定性耐熱性良好 |
| 應用領域: |
殺菌廣譜,可有效地防止G+、G-、真菌、酵母菌等,和陽離子、陰離子、非離子表面活性劑、蛋白質配伍性良好。廣泛用于化妝品和個人護理品如洗發香波、護發素、剃須品、粉底、洗劑、膏霜、嬰兒產品、防曬品和清洗劑等日化產品的防腐殺菌(需水沖洗的產品)。也可與碘代丙炔基丁基甲氨酸酯配合后用于化妝品中。 |
| 使用方法: |
在化妝品和個人護理品如洗發香波、護發素、剃須品、粉底、洗劑、膏霜、嬰兒產品、防曬品和清洗劑等日化產品中,一般使用濃度為0.15~0.50%。 |
| 毒性指標: |
急性經口毒性:LD50>4000mg/kg(大鼠) 急性皮膚刺激:LD50(兔)>20000mg/kg(兔) 眼睛刺激試驗:1000mg/ml溶液無刺激作用(兔) 皮膚刺激試驗:使用0.5%有效成分無刺激(兔) |
| 包裝規格: |
25kg、200kg閉口塑料桶包裝 |
| 注意事項: |
本品可在任意工序加入,但應盡量避免在50 °C以上條件加入,建議低于50 °C的最后一道 工序加入,配戴防護衣、橡膠手套和眼罩和面具,避免接觸皮膚、眼睛和粘膜。 |
| 運輸貯存: |
常溫貯存12個月,非危險品 |
|
|
|
|
|