別名:2,4 -咪唑烷二酮-3,5,5 -二甲基-1,3 -雙(環氧乙烷基甲基) - (9CI)均聚物,乙內酰脲,1,3 -雙(2,3 -環氧丙基)-5,5 -二甲基聚合物(8CI); 1,3 - 二縮水甘油酯-5 ,5-二甲聚合物;同類似 國外牌號 Aracast CY350愛牢達CY 350愛牢達HY 238; CIBA XB-2793; CY 350 EG 10 EG 10(環氧樹脂); 691 XB2793
CAS編號: 28906-98-1(CAS數據庫引用)
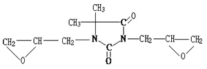
分子式:C11 H16 N2 O4
分子結構:
具有優良的粘結性,良好的熱穩定性,耐水、耐化學藥品性和電性能,因而被廣泛應用于航天航空、汽車、船舶以及電子、電氣等工業領域,但其易燃性是其****的缺點,一直以來人們致力于對環氧樹脂進行阻燃改性。當前流行的方法是將環氧樹脂中的雙酚A進行鹵代(通常為四溴代)制成含鹵阻燃環氧樹脂,但由于在其燃燒過程中產生大量具有腐蝕性的HBr等有毒氣體和二惡英,而將被逐漸禁用。新型含磷、含氮和海因環氧樹脂正成為電工業中阻燃環氧樹脂的研究熱點。
含磷環氧樹脂具有較高的阻燃效率,但耐濕熱性能低下,部分含磷阻燃劑水溶性強,其制品使用結束丟棄后,磷易被溶出,也可能對環境造成污染。含硅環氧樹脂耐熱、防潮,具有較好的電氣性能、粘合性和機械強度,但玻璃化轉變溫度普通較低,并且與多數環氧樹脂相容性不好。海因環氧樹脂作為一種新型的阻燃環氧樹脂,具有較高的熱分解溫度和阻燃效率,是目前取代含溴環氧樹脂的主要品種之一。隨著科技的發展,海因環氧樹脂是含有五元二氮雜環的新型環氧樹脂,具有優異的力學性能和熱穩定性及良好工藝性能。又有非苯環的氮雜環結構,不易燃,有極好的耐候性和電絕緣性能,尤其是在高電壓和超電壓下具有優良的性能。
海因環氧樹脂產品說明書
一、質量指標:
|
序號 |
項目 |
指標 |
|
MHR-070 |
MHR-154 |
MHR-154B |
|
1 |
外觀 |
淺黃色透明液體 |
淺黃色透明粘稠液體 |
淺黃色透明粘稠液體 |
|
2 |
環氧值/(eq/100g) |
0.70-0.74 |
0.50-0.55 |
0.58-0.62 |
|
3 |
色度 Garder ≤ |
2 |
2 |
4 |
|
4 |
粘度,MPS (25℃) |
3000-5000 |
100000-150000 |
60000-75000 |
|
5 |
揮發份(105℃,3h), % ≤ |
1 |
1 |
1 |
海因環氧樹脂(MHR):5,5-二甲基海因環氧樹脂,又稱二甲基海因二縮水甘油胺,是最常用的一種海因環氧樹脂。
牌號 |
外觀 |
環氧值
eq/100g |
粘度
mPa.S |
熔點或軟化點
℃ |
MHR-078 |
白色粉末 |
0.78-0.82 |
- |
熔點42-44 |
MHR-070 |
淡黃色液體 |
0.70-0.74 |
3000-5000 |
- |
MHR-154B |
淡黃色液體 |
0.58-0.62 |
60000-75000 |
- |
MHR-154 |
淡黃色液體 |
0.50-0.55 |
100000-150000 |
軟化點10-20 |
MHR-036 |
黃色半固體 |
0.36-0.40 |
- |
軟化點40-50 |
MHR-018 |
黃色固體 |
0.18-0.22 |
- |
軟化點90-100 |
牌號 |
特點 |
用途 |
MHR-078 |
高純度 |
粉末涂料 |
MHR-070 |
低粘度、高環氧值 |
電工澆注料、電子包封料 |
MHR-154B |
高粘度、中等環氧值 |
層壓板、覆銅板 |
MHR-154 |
高粘度、中等環氧值 |
覆銅板、土木建筑膠 |
MHR-036 |
半固體 |
水性涂料、浸潤劑 |
MHR-018 |
固體 |
粉末涂料 |
主要適用的固化劑有:酸酐、芳香胺、脂環胺、雙氰胺、酸性聚酯、線型酚醛樹脂等。
二、性能特點
海因樹脂具有下列特點。 ①黏度低、工藝性好。其黏度比雙酚A型環氧樹脂低得多,不加稀釋劑就有很好的工藝性能,可用作無溶劑涂料、無溶劑膠黏劑、光電元件包材料等。 ②熱穩定性好,耐熱性高。其絕緣灌封料在180℃下可使用5000h以上;在130℃的使用壽命為40年。 ③耐候性好。其涂料在日光或紫外線曝曬下,不易發黃和粉化。性能優于雙酚A型環氧樹脂及丙烯酸樹脂涂料。其耐鹽霧、抗腐蝕性也很突出,可用作海洋建筑物及船舶的防污覆蓋涂料、建筑用膠黏劑等。 ④在高電壓及超高壓下電性能突出,尤其是具有優良的耐電弧性和抗漏電痕跡性,可用做耐高電壓絕緣器件。 ⑤極性很強、黏度低,因而對玻璃纖維、碳纖維和多種填料都有很好的濕潤能力和粘接性,可在不降低工藝性的前提下添加大量填料,從而使線膨脹系數及成本降低。 ⑥毒性小?捎米魇称钒b和衛生包裝用的涂料、無毒膠黏劑等。 ⑦水溶性海因環氧樹脂可用來處理紡織品、紙張,以提高其強度和抗皺性能。
[特性及應用]海因環氧樹脂極性較大,若選用極性大的脂肪胺為固化劑時,則極易受濕氣影響.因此最好選用酸酐或芳香胺類為固化劑.選用酸酐為固化劑時需加
入固化促進劑,如芐基二甲胺等.為了不降低耐候性,可選用氫化酸酐(脂環型酸酐).
海因環氧樹脂在高電壓及超高壓下電性能突出,尤其是具有優良的耐電弧性和抗漏電痕跡性,可用作耐高電壓絕緣器件.海因環氧樹脂極性很強,黏度低,因而對玻璃纖維,碳纖維和多種填料都有很好的潤濕能力和黏結性,可在不降低工藝性的前提下添加大量填料,從而使線膨脹系數及成本降低。作為一種含有海因環結構的新型環氧樹脂,具有優良的耐高溫和化學穩定性,在航空航天、軍工及電子封裝領域具有很好的應用前景。
三、用途
MHR-070主要用于玻璃纖維纏繞工藝,擠拉成型工藝。APG料及環氧澆注料等,該產品因純度高,易結晶,若產品出現結晶,加熱到60-80℃,攪拌均勻即可,不影響產品的使用性能。
MHR-018主要用于耐高溫環氧粉末涂料,重防腐涂料耐侯性涂料等。
MHR-154主要用于層壓板,敷銅箔板等。
四、適用的固化劑
各種芳香胺類、酸酐類、酚醛類、咪唑類等均可與海因環氧樹脂加熱固化。
2-乙基-4-甲基咪唑作為環氧樹脂的固化劑,它是一種耐高溫的潛伏性固化劑。
五、參考配方:
應用示例:MHR-070 酸酐固化體系
配方:MHR-070 / THPA / BDMA =100 / 115 / 1
固化條件:80℃×2hr + 100℃×1hr + 160℃×6hr
固化物性能:
拉伸強度 |
MPa |
46 |
拉伸模量 |
MPa |
1510 |
彎曲強度 |
MPa |
113 |
彎曲模量 |
MPa |
3168 |
沖擊強度 |
kJ/m2 |
9.8 |
斷裂伸長率 |
% |
3.1 |
表面電阻 |
Ω |
2.8×1015 |
體積電阻 |
Ω.cm |
3.5×1015 |
擊穿電壓 |
kV/mm |
40 |
玻璃化轉變溫度 Tg |
℃ |
197.7 |
應用示例:MHR-154 BPA酚醛樹脂固化體系
配方:促進劑DMP-30用量為0.2%
固化條件: 100℃×2hr+130℃×3hr+180℃×5hr
固化物性能:
MHR-154 / BPA酚醛樹脂 |
100/45 |
100/50 |
100/55 |
沖擊強度 kJ/m2 |
12.6 |
16.2 |
17.6 |
斷裂伸長率 % |
3.8 |
3.2 |
3.5 |
彎曲強度 MPa |
119.5 |
109.9 |
108.6 |
彎曲模量 MPa |
3312 |
3210 |
3180 |
拉伸強度 MPa |
52 |
55 |
53 |
拉伸模量 MPa |
1586 |
1728 |
1602 |
Tg (DCS法) ℃ |
220.6 |
216.4 |
210.9 |
表面電阻 Ω |
3.6×1014 |
4.2×1014 |
2.9×1014 |
體積電阻 Ω.cm |
2.8×1015 |
3.5×1015 |
5.5×1015 |
PDF文件下載:

不含環境物質證明報告.PDF